0 of 49 Questions completed
Questions:
You have already completed the quiz before. Hence you can not start it again.
Quiz is loading…
You must sign in or sign up to start the quiz.
You must first complete the following:
0 of 49 Questions answered correctly
Your time:
Time has elapsed
You have reached 0 of 0 point(s), (0)
Earned Point(s): 0 of 0, (0)
0 Essay(s) Pending (Possible Point(s): 0)
In the given diagram, A and B respectively represent :

(a)
The term ‘Health‘ is defined in many ways. The most accurate definition of health would be:
(b)
It is important to differentiate between drug addiction and dependence. In drug dependence :
(a)
Consider the given stages in the life cycle of Plasmodium and choose the correctly matched pair :

(c)
A – Merozoites infect humans when mosquito bites → ❌ Incorrect.
At stage A, the mosquito injects sporozoites, not merozoites, into the human bloodstream.
B – The parasite reproduces sexually in liver cells → ❌ Incorrect.
In the liver, asexual reproduction (schizogony) occurs. Sexual reproduction happens in the mosquito gut.
C – Symptoms of malaria → ✅ Correct.
Stage C is the bursting of RBCs, releasing merozoites and toxins, causing fever and chills.
D – Fertilization in the hemocoel of the mosquito → ❌ Incorrect.
Fertilization occurs in the gut (midgut) of the mosquito, not in the hemocoel.
Diseases are broadly grouped into infectious and non-infectious diseases. In the list given below, identify the infectious diseases.
\(
\begin{array}{|l|l|l|l|}
\hline \text { i. } & \text { Cancer } & \text { ii. } & \text { Influenza } \\
\hline \text { iii. } & \text { Allergy } & \text { iv. } & \text { Smallpox } \\
\hline
\end{array}
\)
(d)
Cancer → ❌ Non-infectious.
Influenza → ✅ Infectious (caused by influenza virus).
Allergy → ❌ Non-infectious (immune hypersensitivity).
Smallpox → ✅ Infectious (caused by Variola virus).
Identify the correct statement regarding typhoid fever in human beings:
(d)
❌ “Pathogenic protozoan Salmonella typhi” → Wrong because S. typhi is a bacterium, not a protozoan.
❌ “Remains confined to small intestine” → Wrong because S. typhi spreads via blood to many organs (systemic infection).
❌ “Widal test confirms infection very early” → Wrong because Widal test becomes positive only after ~1 week (not early).
✅ “Intestinal perforation and death may occur” → True in severe untreated typhoid cases due to ulceration in Peyer’s patches.
Many diseases can be diagnosed by observing the symptoms in the patient. Which group of symptoms are indicative of pneumonia ?
(a)
Study the diagram given and choose the correct statement :

(c)
A: Retrovirus replicates outside the cell → ❌ Incorrect.
Viruses cannot replicate outside host cells. Stage A is just entry, not replication.
B: Viral DNA is produced by the host’s enzyme – reverse transcriptase → ❌ Incorrect.
Reverse transcriptase is viral enzyme, not host enzyme.
C: Viral DNA incorporates into the host genome → ✅ Correct.
This step occurs after reverse transcription — the viral DNA enters the nucleus and integrates into host DNA.
D: New viral DNA is produced by the infected cell → ❌ Incorrect.
The cell produces viral RNA and proteins, not new viral DNA (retroviruses have RNA genomes).
Consider the given two statements:
\(
\begin{array}{|l|l|}
\hline \text { I: } & \begin{array}{l}
\text { Rhinovirus, the most common virus causing common } \\
\text { cold has a tendency to affect the upper respiratory } \\
\text { tract. }
\end{array} \\
\hline \text { II: } & \begin{array}{l}
\text { The mucosa associated lymphoid tissue is not present } \\
\text { in the upper respiratory tract. }
\end{array} \\
\hline
\end{array}
\)
(c)
I is true: Rhinovirus is the commonest cause of the common cold and primarily infects the upper respiratory tract (nose, nasopharynx, pharynx).
II is false: Mucosa-associated lymphoid tissue (MALT) is present in the upper respiratory tract — e.g., the tonsils and adenoids (Waldeyer’s ring) — and provides local immune defence.
In the human body, the malaria parasite first multiplies in :
(b)
The occurrence of chills and fever in malaria is associated with :
(c)
Which is the particular type of drug that is obtained from the plants whose one flowering branch is shown below ?

(a)
Which of the following diseases is/are correctly matched with their modes of transmission?
\(
\begin{array}{|l|l|l|}
\hline & \text { Disease/Infection } & \text { Mode of transmission } \\
\hline \text { I. } & \text { Ascariasis } & \text { Contaminated food and water } \\
\hline \text { II. } & \text { Elephantiasis } & \text { Vector-borne } \\
\hline \text { III. } & \text { Ringworm } & \text { Direct contact } \\
\hline
\end{array}
\)
Options:-
\(
\begin{array}{|l|l|l|l|}
\hline \text { 1. } & \text { Only I and II } & \text { 2. } & \text { Only I and III } \\
\hline \text { 3. } & \text { Only II and III } & \text { 4. } & \text { I, II and III } \\
\hline
\end{array}
\)
(d)
All are correct
The micro-environment for the development and maturation of T lymphocytes is provided by:
I. Bone marrow
II. Thymus
III. Spleen
(b)
Secondary lymphoid organs :
(b)
Refer to the given figure and choose the organism not related to the condition shown here :

(c)
The sporozoites that cause infection when a female Anopheles mosquito bites a person, are found in:
(c)
Haemozoin is a :
(c)
All the following diseases or mankind are vector-borne except :
(c)
The diagram shows inflammation in one of the lower limbs due to an infection by a certain pathogen. Identify the correct statement :

Statement I: This is caused by the Annelid Wuchereria bancrofti.
Statement II: The condition is due to the blockage of deep veins by the adult worm.
(d)
Let’s analyse:
Pathogen: The image shows elephantiasis (lymphatic filariasis).
It is caused by Wuchereria bancrofti, which is a Nematode (roundworm), not an Annelid.
So, Statement I is ❌ incorrect.
Mechanism: The swelling occurs due to blockage of lymphatic vessels, not deep veins.
So, Statement II is ❌ incorrect.
Ringworm is not caused by :
(a)
Reasoning (NEET-focused):
Ringworm is caused by dermatophyte fungi: Microsporum, Trichophyton, and Epidermophyton.
Trichoderma is a soil fungus, not a dermatophyte, and does not cause ringworm.
The disease chikungunya is transmitted by :
(b)
Given below are two statements : one is labelled as Assertion (A) and the other is labelled as Reason (R).
\(
\begin{array}{|l|l|}
\hline \text { Assertion (A): } & \begin{array}{l}
\text { In vaccination, a preparation of antigenic } \\
\text { proteins of pathogen or } \\
\text { inactivated/weakened pathogen (vaccine) } \\
\text { are introduced into the body. }
\end{array} \\
\hline \text { Reason (R): } & \begin{array}{l}
\text { The vaccines also generate memory – B } \\
\text { and T-cells that recognise the pathogen } \\
\text { quickly on subsequent exposure and } \\
\text { overwhelm the invaders with a massive } \\
\text { production of antibodies. }
\end{array} \\
\hline
\end{array}
\)
In the light of the above statements, choose the most appropriate answer from the options given below :
(d)
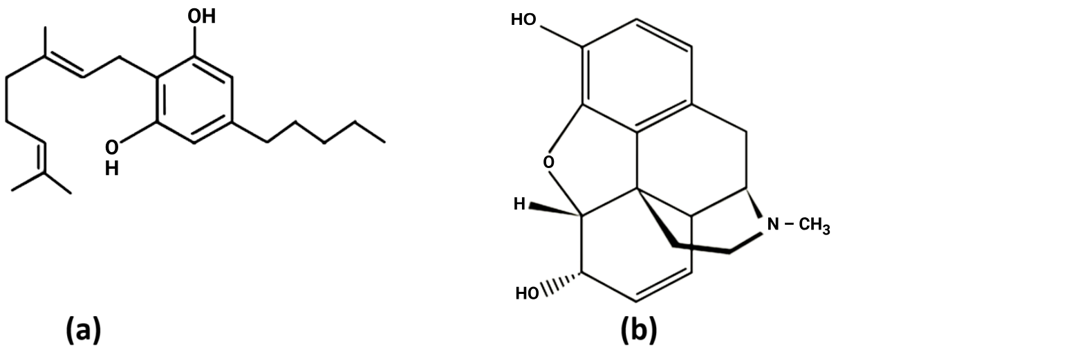
Identify the molecules (a) and (b) shown below and select the right option giving their source :

\(
\begin{array}{|l|l|l|l|}
\hline
& \text{Molecule} & \text{Source} & \text{Use} \\
\hline
1. & \text{Etropine} & \text{Atropa belladona} & \text{Accelerates the transport of dopamine} \\
\hline
2. & \text{Diacetylmorphine} & \text{Cannabis sativa} & \text{Depressant and slows down body functions} \\
\hline
3. & \text{Cannabinoid} & \text{Erythroxylum coca} & \text{Produces hallucinations} \\
\hline
4. & \text{Morphine} & \text{Papaver somniferum} & \text{Sedative and painkiller} \\
\hline
\end{array}
\)
(d)
Which of the following is also sometimes called as mosquito fish ?
(b)
What is incorrect regarding innate immunity ?
(c)
3 — Incorrect: Natural killer (NK) cells are lymphocytes, not monocytes. They kill virus-infected and tumor cells without prior sensitization.
Match each item in Column I [Barriers in innate immunity] with one in Column II [Example] and select your answer from the codes given:
\(
\begin{array}{|l|l|l|l|}
\hline & \text { COLUMN I } & & \text { COLUMN II } \\
\hline \text { A. } & \text { Physical } & \text { a. } & \text { Skin and mucus membranes } \\
\hline \text { B. } & \text { Physiological } & \text { b. } & \text { PMNL } \\
\hline \text { C. } & \text { Cellular } & \text { c. } & \text { Acid in stomach and saliva in mouth } \\
\hline \text { D. } & \text { Cytokine } & \text { d. } & \text { Interferon } \\
\hline
\end{array}
\)
Codes:
\(
\begin{array}{|l|l|l|l|l|}
\hline \text { Options: } & \text { A } & \text { B } & \text { C } & \text { D } \\
\hline 1 . & \text { a } & \text { b } & \text { c } & \text { d } \\
\hline 2 . & \text { d } & \text { b } & \text { c } & \text { a } \\
\hline 3 . & \text { a } & \text { c } & \text { b } & \text { d } \\
\hline 4 . & \text { d } & \text { c } & \text { b } & \text { a } \\
\hline
\end{array}
\)
(c)
Which of the following cells can phagocytose microbes only in tissues ?
(c)
Anamnestic response in acquired immunity is due to the fact that it is
(a)
Anamnestic response = secondary immune response seen upon second exposure to the same antigen.
It is faster and stronger because of memory B and T lymphocytes formed during the primary response.
While it is pathogen-specific and due to lymphocytes, the reason it’s called anamnestic is specifically the presence of immunological memory.
Consider the given two statements:
I: The acquired immune response is called “adaptive”.
II: In acquired immunity, pathogen-specific receptors are “acquired” during the lifetime of the organism.
(b)
The term adaptive is used mainly because the immune response adapts in strength and specificity after repeated exposure, leading to memory — not simply because receptors are acquired during life.
While II is a fact about acquired immunity, it is not considered the direct reason for naming it “adaptive”
What word correctly denotes an enhanced reaction of the body’s immune system to an antigen which is related to one previously encountered ?
(c)
B cells:-
(d)
In an antibody molecule, an antigen binding site is located :
(c)
Non-specific response to microbes that enter the human body involves the response of all the following except :
(a)
Identify the incorrect statement regarding the cell mediated immune response :
(b)
2 — Incorrect: Cytotoxic T cells do not secrete antibodies — antibody production is the job of plasma cells (from B lymphocytes).
A fetus receiving some antibodies from mother through placenta is an example of :
(d)
Transplantation of tissues/organs to save certain patients often fails due to the rejection of such tissues/organs by the patient. Which type of immune response is responsible for such rejections?
(d)
Active immunity develops when :
(a)
The given figure shows the chemical structure of a commonly abused drug. This drug :

(c)
Antibodies present in colostrum protects the newborn from certain diseases which are of :
(b)
Given below are two statements : one is labelled as Assertion (A) and the other is labelled as Reason (R).
\(
\begin{array}{|l|l|}
\hline \text { Assertion (A): } & \begin{array}{l}
\text { If a person is infected with some deadly } \\
\text { microbes to which a quick immune } \\
\text { response is required as in tetanus, we } \\
\text { need to directly inject the preformed } \\
\text { antibodies or antitoxin. }
\end{array} \\
\hline \text { Reason (R): } & \begin{array}{l}
\text { This type of immunization is called } \\
\text { passive immunization. }
\end{array} \\
\hline
\end{array}
\)
In the light of the above statements, choose the most appropriate answer from the options given below:
(c)
In this case, R is basically a definition of the process in A, but does not explain why it’s needed in emergencies (i.e., because active immunity is too slow, but passive immunity gives immediate protection).
How many of the given statements regarding HIV/AIDS are true ?
\(
\begin{array}{|l|l|}
\hline \text { I. } & \text { AIDS is a congenital disease } \\
\hline \text { II. } & \text { Syndrome means a group of symptoms } \\
\hline \text { III. } & \text { HIV is a rotavirus } \\
\hline \text { IV. } & \text { HIV does not have an envelope } \\
\hline \text { V. } & \begin{array}{l}
\text { HIV can be transmitted by an infected mother to her } \\
\text { child through placenta }
\end{array} \\
\hline
\end{array}
\)
(a)
2. Syndrome means a group of symptoms → ✅ True
By definition, a syndrome is a set of signs/symptoms occurring together.
5. HIV can be transmitted by an infected mother to her child through placenta → ✅ True
Given below are two statements : one is labelled as Assertion (A) and the other is labelled as Reason (R).
\(
\begin{array}{|l|l|}
\hline \text { Assertion (A): } & \begin{array}{l}
\text { HIV/Aids infected persons should not be } \\
\text { isolated from family and society. }
\end{array} \\
\hline \text { Reason (R): } & \begin{array}{l}
\text { There is a time-lag of a few months to } \\
\text { many years [usually 5-10 years] between } \\
\text { infection and the appearance of AIDS } \\
\text { symptoms. }
\end{array} \\
\hline
\end{array}
\)
In the light of the above statements, choose the most appropriate answer from the options given below :
(c)
But R does not explain A: The reason not to isolate is because HIV is not spread by casual contact and because isolation is socially and medically harmful — the time-lag to symptoms is unrelated to that justification.
What is not correct regarding the pathogenesis of AIDS in humans ?
\(
\begin{array}{|c|l|}
\hline \text { I. } & \text { HIV first enters into the macrophages. } \\
\hline \text { II. } & \begin{array}{l}
\text { Macrophages are used by HIV as a factory to } \\
\text { produce more virus particles. }
\end{array} \\
\hline \text { III. } & \begin{array}{l}
\text { The viral cDNA does not get integrated into any } \\
\text { cells in the human body. }
\end{array} \\
\hline \text { IV. } & \text { HIV also enters the Thelper cells and destroys them. } \\
\hline \text { V. } & \begin{array}{l}
\text { The anti-retroviral treatment for AIDS is completely } \\
\text { curative. }
\end{array} \\
\hline
\end{array}
\)
(b)
III: The viral cDNA does not get integrated into any cells in the human body → ❌ Incorrect
Reverse transcriptase forms cDNA which integrates into the host genome of infected cells (provirus stage).
V: The anti-retroviral treatment for AIDS is completely curative → ❌ Incorrect
ART controls replication but does not eradicate HIV; it is not curative.
Identify the incorrect statement regarding HIV :
(a)
Identify the incorrect statement :
(c)
3 — Incorrect: MRI uses strong magnetic fields and radio waves, not ionising radiation.
(c)
Match the drugs in Column I with their correct attributes given in Column II and select the correct answer from the codes given:
\(
\begin{array}{|l|l|l|l|}
\hline & \text { Drug } & & \text { Attribute } \\
\hline \text { A } & \text { Opioids } & \text { P } & \text { Hallucinogenic at high doses } \\
\hline \text { B } & \text { Cannabinoids } & \text { Q } & \text { Highly effective painkiller } \\
\hline \text { C } & \text { Cocaine } & \text { R } & \text { Can cause cardiovascular side effects } \\
\hline \text { D } & \text { Nicotine } & \text { S } & \text { Stimulates adrenal medulla } \\
\hline
\end{array}
\)
Codes:
\(
\begin{array}{|l|l|l|l|l|}
\hline & \text { A } & \text { B } & \text { C } & \text { D } \\
\hline 1 . & \text { Q } & \text { R } & \text { S } & \text { P } \\
\hline 2 . & \text { R } & \text { Q } & \text { P } & \text { S } \\
\hline 3 . & \text { Q } & \text { R } & \text { P } & \text { S } \\
\hline 4 . & \text { R } & \text { Q } & \text { S } & \text { P } \\
\hline
\end{array}
\)
(c)
Given below are two statements : one is labelled as Assertion (A) and the other is labelled as Reason (R).
\(
\begin{array}{|l|l|}
\hline \text { Assertion (A): } & \begin{array}{l}
\text { Effects like euphoria and a temporary } \\
\text { feeling of well-being are frequent causes } \\
\text { of drug addiction. }
\end{array} \\
\hline \text { Reason (R): } & \begin{array}{l}
\text { Because of the perceived benefits, drugs } \\
\text { are frequently used repeatedly. }
\end{array} \\
\hline
\end{array}
\)
In the light of the above statements, choose the most appropriate answer from the options given below :
(c)
You cannot copy content of this page